纵观整个世界技术和经济的发展,全球一体化的程度越来越高,跨国经营越来越普遍。就制造业而言,产品的设计可能在日本,而原材料的采购可能在中国大陆或者巴西,零部件的生产可能在台湾、印尼等地同时进行,然后在中国大陆组装,最后销往世界各地。除此之外,在产品进入消费市场之前,事实上相当多的公司参与了产品的制造,由于他们的地理位置、生产水平、管理能力各不相同,从而形成了复杂的产品生产供应网络。这样的一个供应链在面对市场需求波动的时候,一旦缺乏有效的系统管理,“鞭子效应”在供应链的各环节中必然会被放大,从而严重影响整个供应链的价值产出。在这种情况下,有人提出现有企业的竞争力就在于供应链的整合能力,供应链致胜。因此供应链管理就提上了企业经营管理的重要议程。
然而供应链管理是一个复杂的,非常难以掌握的游戏。在管理过程中,它要求你能够以各种十分精确的管理方式,及时且准确的移动大量物品到你所希望的场所。所以你就不得不主导这一过程,一旦有任何一个环节出现差错,都会造成成本的无限攀升和客户的强烈不满,对企业来说那都将是不可估量的损失。
所以,你必须建立起相应简单、高效的游戏规则,并且建立起各个环节的掌控办法,通过过程控制和游戏规则的实施,支撑公司的需求流、供应流和现金流。
供应链管理(Supply Chain Management ,简称SCM):就是指在满足一定的客户服务水平的条件下,为了使整个供应链系统成本达到最小而把供应商、制造商、仓库、配送中心和渠道商等有效地组织在一起来进行的产品制造、转运、分销及销售的管理方法,具体如图4-1所示。
供应链管理包括计划、采购、制造、仓储、配送五大基本内容。
计划:是SCM的大脑,是SCM的策略性部分。企业需要有一个方法来管理所有的资源,以满足客户对公司产品的需求。好的计划能够建立一系列的方法监控供应链,使它能够有效、低成本地为顾客递送高质量和高价值的产品或服务。
采购:选择能为企业产品和服务提供货品和服务的供应商,然后和供应商建立一套定价、配送和付款流程,创造一套具体的方法进行监控和改善业务内容,把对供应商提供的货品和服务的管理流程结合起来,包括提货、核实货单、转送货物到公司制造部门并批准对供应商的付款等。
制造:安排生产、测试、打包和准备送货所需的活动,是供应链中测量内容最多的部分,包括质量水平、产品产量和工人的生产效率等的测量。
仓储:包括对供应商所提供的原材料、配件以及公司生产的产品进行存储服务。
配送:也称之为“物流”,是将产品定时定点的送达客户指定地点的服务。
现代商业环境给企业带来了巨大的压力,不仅仅是销售产品,还要为客户和消费者提供满意的服务,从而提高客户的满意度,让其产生幸福感。科特勒表示:“顾客就是上帝,没有他们,企业就不能生存。一切计划都必须围绕挽留顾客、满足顾客进行。”要在国内和国际市场上赢得客户,必然要求企业供应链能快速、敏捷、灵活和协作地响应客户的需求。面对多变的供应链环境,构建幸福供应链成为现代企业的发展趋势。
本篇将按照供应链的各个环节工作内容为分类,结合优秀企业供应链管理方法,详细阐述供应链管理应该如何进行,以期能够启发各企业主,为自己企业建立起高效的供应链管理方法。
1
2
3
4
4.1 生产计划管理
生产计划是企业的大脑,企业内所有经营管理活动都离不开生产计划。生产计划管理得当,企业的运转效率就高;反之,企业的经营效率就非常低下。笔者曾经为一家生产手术用的剪刀、钳子等产品的医疗器械企业服务时,通过详细调研发现,该企业的产品生产周期居然长达14个月,而企业所有人员却对此一无所知,当这一调查结果在企业内进行发布时,企业所有管理者都惊呆了,他们怎么也想不明白,这么简单的产品,居然生产周期长达14个月。当我们将详细调研数据、资料展现在他们面前时,他们才如梦初醒。当然,也因为有这么长的生产周期,该企业在年销售额约为4亿元人民币左右的情况下,库存金额(包括成品、半成品)居然高达8000多万,着实惊人。这样的案例比比皆是。那么为什么会造成这样的结果,再深入研究后发现,这些企业存在同样的问题,那就是企业生产计划管理非常薄弱,甚至混乱,从而造就了企业生产周期长,库存金额高居不下。
生产计划管理包括生产计划的制作、管控等,具体内容如图4-2所示。下面我就一步步为大家讲解,在讲解的过程中,穿插一些优秀企业案例进行说明,以期让大家明白各管理内容间的逻辑关系和具体管理方法。
1
2
3
4
4.1
4.1.1 生产计划的制作
生产计划的制作是基于销售量的前提下进行的,有些公司是在订单确定后再进行生产,即订单式生产,这种计划只需要在客户下单后,根据客户的需求日期以及公司的生产能力进行排序即可,这种较为简单,这里不再说明。还有些公司如果在客户下单后再进行生产就一定赶不上客户的需求,这类企业就需要在客户下单前就开始生产,这样一来就存在一个问题,那就是生产什么?生产多少量?做不好就很容易形成呆滞库存。
因此在生产计划制作前必须搞清楚可能会销售哪些产品以及每类产品销售多少量,这就需要进行销售预测,然后再根据销售预测量以及公司的生产能力进行生产计划制定。
1) 销售预测
销售预测是指对未来一段时间内产品销量进行预估。销售预测是企业供应链管理的起始,也是供应链管理的源头。我们常说生产计划是企业运作的大脑,那么销售预测准确与否就决定着这个大脑智商的高低。如果销售量预测与实际差异过大,那么将导致企业生产混乱、成本升高、增加了企业运营的困难度,同时还会导致客户满意度下降。正如笔者曾经服务过的一家企业,销售部门在预测全年的销售数量时较为乐观,给生产计划部门了一个比较高的销售预测量;生产计划部门拿到这个预测量后一致认为不可能达到,因此在安排生产计划时在此基础上减少了10%;生产计划下达到各工厂,最终因计划调整只完成了计划产量的80%。尽管如此,最终还是造成了大量库存积压,导致过段时间,生产部门就需要从仓库拉出一批库存产品进行包装返工,致使生产混乱不堪。
销售预测这么重要,那么到底如何进行销售预测?怎样进行销售预测才能够更准确?下面我就给大家介绍几种常用的销售预测管理办法。
A:销售预测模型法:
销售预测模型法就是指建立一种预测模型,通过该模型的数据分析,确定销售量的方法。要做好销售预测模型,那么就必须搞清楚到底有哪些因素营销产品的销售量。影响销售量的因素从大的方面可以分为四个方面,其一就是外部因素,其二就是内部因素,其三是产品因素,其四是品牌因素,其五就是产品所处的阶段,下面我们就来进行详细说明。
其一:外部因素:
a) 市场需求动向:
一款产品卖的好不好,一定取决于市场的需求,因此市场需求动向的把握至关重要。市场需求动向包括流行趋势、爱好变化、生活形态变化、人口流动等,均可成为产品(或服务)需求的质与量方面的影响因素,因此,必须加以分析与预测。企业应尽量收集有关对象的市场资料、市场调查机构资料、购买动机调查等统计资料.以掌握市场的需求动向。
b) 市场经济变化:
市场经济变化因素是影响商品销售的重要因素,为了提高销售预测的准确性,应特别关注商品市场中的经济变化状况。
近几年来,随着科技、信息快速发展,再加上国际之间尤其是中美之间的竞争加剧,更对各行业带来无法预测的影响因素,导致企业销售收入波动。因此,为了正确预测,需特别注意市场的未来发展、政府及财经界对经济政策的见解以及基础工业、加工业生产、经济增长率等指标变动情况。其中尤其要关注突发事件对经济的影响:如2008年的毒奶粉事件导致豆浆机行业快速成长;2013年的SARS和今年初的新冠疫情导致的市场变化等。
c) 市场竞争状况:
市场竞争从来就是产品销售状况的一大影响因素,所以各企业必须重点关注市场竞争状况。古人云“知己知彼.百战不殆”。为了生存,企业必须掌握对手在市场的所有活动。例如,竞争对手的目标市场在哪里,产品价格高低,促销与服务措施等等。
随着市场的发展,现在并非同行业的是竞争对手,更大的竞争也有可能来自不同的行业,如电信业务的竞争可能主要来自于网络交友软件,再如商超的竞争主要来自于电商的发展等等。所以各企业在关注市场竞争时,不仅要关注同行的状况,还要关注市场的新兴产业状况。
其二:内部因素:
d) 产品市场定位
产品市场定位准确,意味着购买人群准确;同时也意味着该在哪里进行销售,和该用什么方式进行销售。因此,产品市场定位是否准确,是影响产品销量的重要因素之一。
e) 产品销售策略
产品销售是通过什么平台进行销售?电商?传统门店?经销商平台?或者是几种都有?各自采取什么策略?什么时间点做什么样的活动等等,这些都是影响产品销售量的重要因素。
f) 产品价格策略
产品价格是客户决定是否购买该产品的一项重要因素。因此公司产品的价格策略也是产品销量的重要因素。
g) 广告及促销策略
俗话说,好酒也怕巷子深。那么产品销售时,产品的广告策略如何进行,消费者怎么获得相应的信息等?这同样也是影响产品销量的重要因素。
h) 生产状况
除了产品的销售状况之外,公司的生产产能状况又如何、货源是否充足,能否保证销售需要等也是影响产品销量的重要因素。
其三:产品因素:
产品自身因素当然包括了很多内容,如产品配色、外形、样式、功能等,而这些因素总体表现在客户方面,就是客户对产品的满意度。人们常说的众口铄金,体现在客户对产品满意度方面,就是满意度越高,产品的销量就会越来越好,反之,如果客户满意度越低,产品的销量也将越差。因此,我们可以把客户满意度作为产品的重要衡量因素。
但是,客户满意度只是一个绝对数字,那么这个数字到底多少是好?多少是差?怎么来判断呢?用单独这个数字,自然是无法使用的。正因为这方面的提升主要是通过服务提升来实现,所以,我们可以将全部市场的客户满意度作为参考来分辨单独市场是否存在提升空间。如果单个市场的客户满意度高于全部市场客户满意度均值,那么可能产品的销量将会越来越好,如果产品客户满意度低于全部市场客户满意度均值,那么如果不做任何努力的情况下,产品的销量也将会越来越低。
可产品一旦定型,不做产品改造升级的话,上述因素已经确定,将不再改变,那么客户满意度还能改变吗?
那么我们来思考一下,如果产品本身的这些因素不改变,那么客户满意度还能改变吗?答案是会的,因为人的思维有时候是会受周围环境影响的,虽然产品本身不能变更,可销售人员、客户服务人员的服务是可以改变和提升的,随着服务的优化,客户对产品的满意度自然也会提升,除非产品的确存在重大缺陷。当然这部分内容主要体现在销售策略方面,在产品因素计算时不体现。
其四:品牌因素:
品牌因素主要是看市场对该品牌的认可度。当然对品牌的认可度体现在数据上主要是产品在该区域内的市场占有率。同样,同客户满意度数据一样,单独的市场占有率数据很难判断是好是坏,所以还需要引进相应的参考坐标,可以考虑采用全部市场的市场占有率作为参考。与客户满意度不同的是,单个市场市占率如果低于全部市场市占率,则说明有上升空间,相反则说明上升空间受限。
其五:产品所处阶段:
从产品全寿命周期来看,一款产品从开始上市到最终下市,共有几个阶段,分别是初始期,成长期,成熟期,衰退期几个阶段。如图4-3所示。
产品在不同的阶段,其销量增长率不同,一般各阶段的销量增长率如图4-4所示。

以上各因素都是影响产品销量的重要因素,除了以上因素之外,当然还有很多因素会影响到产品的销量,如销售人员、销售地点等因素,这里就不再一一赘述。
知道了这些影响产品销量的因素,我们该如何利用这些因素来预测产品的销量呢?我们可以尝试用这些因素设计一个表格,对所有销售点或销售平台的销售量进行预测,如图4-5所示。
B:经验预测法:
经验预测法顾名思义就是按照销售人员的经验进行预测的方法。一般分为个人预测和集体预测两种。个人预测一般是由销售负责人根据经验预测;集体预测法就是让每个销售人员进行预测,预测后进行平均的方法。集体预测时,要根据每个人预测的准确程度设置不同的权重然后进行加权平均。
经验预测法因销售人员对销售状况掌握的程度不同,其预测结果也不同。
C:其它预测法:
其它预测法包括德菲尔预测法、生命周期预测法、顾客预测法、趋势外推预测法等等。
其中德菲尔预测法是通过匿名函询的方式向专家们征求对某一预测问题的意见,然后将预测意见加以综合、整理和归纳,再反馈给各个专家以供他们分析判断提供新的论证。如此往返多次,预测意见逐步趋于一致。最后由预测者统计处理后,给出预测结果。
由于本书主要是讲述其管理逻辑,具体预测方法在此就不再赘述。
完成了销售预测之后,需要将销售预测数据发送给企业计划管理部门,如图4-6所示。然后由计划管理部门根据销售预测制定相应的生产计划。那么就进入了生产计划制定部分。

图 4‑6 XX公司销售预测表
2) 收集产能信息
在制定生产计划前,必须先要了解生产部门的具体生产能力。生产能力的测算应由生产部门进行测算(具体测算方法将在生产管理篇中进行说明,本文直接引用结果),并报公司相应管理人员审核后提报至生产计划管理部门,如图4-7案例所示。
3) 生产计划制定
生产计划的制定是需要先制定相应的存、销、产等的相应数据,然后再根据需要的生产数量,将其分解成各部门每天的生产任务计划,具体步骤如下:
a、制定ISP
生产计划制定有两种思维模式:
第一种思维模式:就是先生产,再销售,然后再确认剩余库存。这种方式一般称之为PSI,即Produce生产——Sale销售——In the library在库。这种方式在早期企业应用比较广泛。先生产产品,有了产品之后再进行销售,销售后未售出部分形成库存。这种生产方式大家也称之为推动式生产方式(Push生产方式)。
在之前企业竞争不充分的情况下,尤其是在二次世界大战之后,市场物资和产品比较匮乏的状态下,企业只要能生产出产品,基本上就能销售出去的状况下,这种生产组织方式对企业的经营影响不大。但是随着社会的发展,市场竞争越来越充分,市场处于高度竞争状况下,市场变幻莫测,可能今天卖的很好的产品,明天就有可能被其它产品所替代,因此生产出的产品未必就能销售出去。所以这种生产组织方式势必会造成企业大量剩余库存,甚至导致企业的经营状况恶化,给企业经营造成极大的负担。
因此,为了防止经营风险,人们开始考虑如何降低库存,尤其是精益生产管理方式出现后,各企业主更是追求零库存的管理方式,出现了拉动式生产方式(Pull生产方式),即先销售库存产品,再根据市场需求量进行生产,极大程度的减少库存量。相对于这种生产方式,计划管理方式也就进行了相应的改变,改变成了先确认在库,再确认销售量,用销售量减去库存量即是需要的生产量,这种生产方式称之为ISP。因此在制定生产计划之前,还需要先排查库存状况,然后再根据销售预测量来确定生产量,最终形成ISP,如图4-8所示。
这里要注意的是,ISP计划一定要分解到具体的月份。
b、制定生产计划
ISP计划中的生产量是每个月的生产总量,一般是用于年度事业计划制定以及月度使用物料的预测及购买。那么ISP计划能直接用作生产计划吗?
有些企业直接采用月度预测总量进行生产,这样生产时一方面哪些产品什么时间交付不清楚,只能由销售部门不断提醒和跟催,跟催的结果就是造成不断的生产插单,使得生产过程非常不均衡不顺稳,造成生产混乱,同时也会造成半成品库存高居不下;另一方面,这样生产,每天到底应该生产多少,完全由生产部门制定,生产量是否合适?是否合理并不清楚。所以不建议直接采用月度生产总量作为生产计划量,而是要再制定具体的每日生产计划量。这样做有两方面的好处,一方面让生产部门切实做到按计划生产,这样就不能造成生产过多或者过少的浪费;另外一方面是要给生产部门一定的压力,确保生产过程中按照节拍进行生产。讲到这里可能有人会说,我们的生产能力大,慢慢生产也没有关系,反正都会完成任务,干嘛要那么快的生产呢?如果一旦这么做,大家将会养成不遵守生产节拍生产,导致生产效率低下,形成极大的浪费。所以,无论每天的计划是多少,都要按照计划完成的具体时间和固定的节拍去完成。
每日生产计划量应根据销售订单的完成日期以及各部门各产线的产能进行精确计算,计算后形成每日的具体生产计划,如图4-9所示。
4.1.2 生产计划的管理
制定好了生产计划,并不等于完事大吉了,好的计划还需要好的管理。生产计划的管理就要做好以下事项。
1) 生产计划的跟踪管理
制定了生产计划后,生产计划在使用过程中如果不去跟踪,计划完成不好,制定的计划就是废纸一张。制定了计划之后,就应该每天跟踪计划实施状况,如图4-10所示。跟踪时,由生产部门每日生产完成后填写生产计划跟踪管理表中的生产实绩数据,并提交至生产管理部门。
一旦发现计划未完成,就必须找出原因,并制定改善和挽回方案,并进行挽回,否则将会影响后面的计划实施。很多公司在这方面没有很好的去应对,计划完成多少就算多少,这样,久而久之,生产计划和生产节拍将变得毫无意义,生产过程浪费极大。有些公司采用计件工资制度,所以很多管理者认为生产时间长短没有关系,反正是按量计算工资,所以不会造成浪费。这种状况在笔者咨询过程中发现不是个例,而是很多公司都会出现这一问题。那么我们想一下,生产成本的构成一方面包括人力成本,还包括能源费、办公费、折旧费等等,虽然人力成本是按照计件进行计算,没有增加,可能源费会随着时间的延长而上涨,设备投资也因为产能低下而耗费更多,同时折旧费就也要高出很多……即使这些浪费企业主都能忍受,可延长生产时间会造成员工疲惫不堪,员工的安全、员工的身体健康也得不到保证,久而久之,员工的稳定性也会受到影响,最终会形成恶性循环,使得企业生产成本高居不下。所以,无论什么状况下都要严格按照生产计划进行生产。
2) 生产计划的变更管理
生产计划这么重要,所以就要求生产计划尽可能准确和稳定,然而实际运营中,生产计划是经常发生变化的,这些变化会给生产造成混乱,生产不稳定最终带来的是生产效率低下、成本上升,不良率上升等问题,所以我们不得不想办法克服这一困难。
那么怎么来控制计划,既能保证生产过程平顺进行,又能适应市场的变化呢?那么我们可以考虑将生产计划制定成动态稳定性生产计划,也就是既要随着市场变化,同时也要保证生产稳定,那么就需要从几个方面进行考虑:
首先:满足市场的变化:
根据市场变化,要及时调整生产计划,在调整好计划之后,应立即向生产部门进行发放,以保证市场变化的满足性。
其次:保证生产稳定性:
前面说到要及时调整市场计划以满足市场需求,但是这一调整也要考虑到生产的稳定性,因此就需要固化一定时期的生产计划作为不可变动部分。那么多久的生产计划作为不可变动部分呢?这就要详细了解生产过程中生产变动的难易程度,有些企业生产调整时需要更换设备模具、更换生产工装等,甚至人员出勤也要相应的变化,那么这一变化周期是多久?比如有些企业更换一次模具就需要1个班次的时间浪费,那么这样的话就不能频繁变更。而有些企业在生产过程中,生产工艺相对简单,这样变更相对比较容易,用时较短,那么这样的变化浪费就不多。因此,在考虑保证生产稳定性时,要根据企业实际状况,制定不同的锁定计划时间段,如相对生产变更容易的企业,可以考虑锁定半天或者一天的生产计划不变;那么生产变更比较困难的企业,就可以考虑锁定计划不变的时间长一些,如3天或者1周计划不变等。
生产变更后,一定要及时将变更后的计划以正式的方式通知或者发放至所涉及到的部门,以便各部门能够及时调整各部门的工作计划和做出相应的安排。
3) 生产计划达成状况评价及考核
在企业管理过程中,要制定相应的评价指标对该项工作进行评价。这里要说明的是,大家一定要清楚,评价是为了确认该项工作管理的结果状况如何,然后从结果入手对不足点进行分析,然后制定改善对策进行改善,而不是为了处罚相应的人员。
计划考核可以考虑从两个方面进行考核评价,一方面是对生产部门的计划达成率考核,该考核目的是要关注计划达成率结果,从而给予生产部门一定的压力,要求其按时完成计划产量;另一方面是要对计划变动率进行考核,从结果方面关注计划的变动性,以督促销售部门能够准确预测市场销量和订单量,从而保证生产的顺稳进行。具体考核指标参考如下:
计划达成率=
;
其中实际产量和生产计划量采用每日的量进行计算,月度采用每日计划达成率的平均值进行计算。这里要注意的是如果直接采用月度实际产量除以月度生产计划量的话,那么每天的计划达成率就不清楚,很可能存在月度数据看起来很好,但实际生产过程极不平衡的现象。
计划变动率=
。
4.2 采购管理
绝大多数生产性企业的第一大成本就是材料成本,这个成本的高低决定着企业的利润高低,除此之外,供应链的稳定与否也决定着企业的生产稳定性,因此采购管理对每一家企业来说都是至关重要的。
那么采购管理到底要管理哪些内容?每项内容到底该如何管理?
1
2
3
4
4.1
4.2
4.2.1 供应商开发及资格认定
作为采购部门,第一要务当然是要选择合适的供应商,这就需要做好以下几方面的内容:
1) 供应商开发
供应商选择的好坏,将影响公司经营的各个层面。一家企业一旦建立,将会有很多供应商可供选择,那么企业在供应商开发时应该根据公司实际状况来选择相应的供应商。
在供应商选择时,首先要考虑的是供应的稳定性,该稳定性包括供应商的生产能力、生产稳定性和产品质量等,这些内容将以供应商评价工作为核心来展开。
其次在满足供应稳定性的前提下就要考虑供应距离。供应距离越近,供应速度越快,库存越低,同时生产也将越顺稳(当然是在供应质量稳定的状况下)。但是实际状况是企业不同,面临的供应商选择也不同,如有些高科技企业的供应商选择面比较窄,甚至市场上就一两家供应商可供选择供应距离问题就可以忽略不计。我们这里重点讲述的是一般性企业,这些企业生产的产品原材料及配件市场上获得性较好,那么就必须要考虑供应距离问题。在供应商选择时,可以以公司为核心,制定一个供应半径,然后在供应半径内选择供应商,如图4-11所示。
2) 供应商资格认定
在供应商资格认定时,需要综合考虑供应商的业绩、设备管理、人力资源开发、质量控制、成本控制、技术开发、用户满意度、交货协议等可能影响供应链合作关系的方方面面。因此供应商资格认定具体原则如下:
系统全面性原则:全面系统评价体系的建立和使用。
简明科学性原则:供应商评价和选择步骤、选择过程透明化、制度化和科学化。
稳定可比性原则:评估体系应该稳定运作,标准统一,减少主观因素。
灵活可操作性原则:不同行业、企业、产品需求、不同环境下的供应商评价应是不一样的,保持一定的灵活操作性。
门当户对原则:供应商的规模和层次和采购商相当。
半数比例原则:购买数量不超过供应商产能的50%,反对全额供货的供应商。如果仅由一家供应商负责100%的供货和100%成本分摊,则采购风险较大,因为一旦该供应商出现问题,按照“蝴蝶效应”的发展,势必影响整个供应链的正常运行。不仅如此,采购商在对某些供应材料或产品有依赖性时,还要考虑地域风险。
供应源数量控制原则:同类物料的供应商数量约2~3家,主次供应商之分。这样可以降低管理成本和提高管理效果,保证供应的稳定性。
供应链战略原则:与重要供应商发展供应链战略合作关系。
学习更新原则:评估的指针、标杆对比的对象以及评估的工具与技术都需要不断的更新。
仅有这些原则还不能够明确到底如何认定供应商资格,因此在供应商资格认定时,需要根据以上原则,建立和使用一个全面的供应商综合评价指标体系,如图4-12 XX汽车公司供应商调查评价内容节选所示。

图 4‑12 XX汽车公司供应商调查评价内容节选
针对重要供应商的评价和调查时,需要聘请外部专业顾问公司或者由公司内部各部门专家组成的专家团队按照调查评价内容进行评价审核,供应商在通过了审核之后,才能进入供应商名单,然后先进行试供货,待其结果确认无误后才能开始批量供应。
如果是一般性产品供应商,采用图4-12所示的供应商调查评价内容进行调查评价时,内容过于庞杂,要求也过于高企,大多数供应商则达不到该要求,因此,在针对一般性供应商的调查评价时,也可按照图4-13所示的供应商调查评价表进行评价。

图 4‑13 XX公司供应商调查评价表案例
当然图4-13评价表案例只是一个综合评分表,在使用时还应设定具体的评分标准,这样可防止因评审人员的知识、能力不同所造成的评价偏差。
4.2.2 价格确定
物料采购价格确定历来都是一件比较困难的工作。作为企业来讲,希望物料价格越便宜越好,但作为供应商来讲又需要合理的利润,因此就成了一对矛盾体。那么到底如何来确定所采购物品的价格?
在管理过程中,一般采用三种定价方式:
第一种,竞标定价:通过供应商评审以及供应商产品经过确认无误的几家供应商,通过竞标报价,获胜方取得最终供应资格,同时也根据竞标价格确定了产品价格。这种方式在现有企业中仍然大量使用。该方法的优点是通过竞标可以获得更低的价格;但其缺点是部分供应商为了获取订单,报出别的供应商难以承受的价格,从而获得订单。但在订单获得后,供货价格低于成本,供应商不得不进行非正常的成本递减活动,最终导致产品质量以及供应及时性等各方面发生问题,致使企业正常生产活动难以维持。更有甚者,有些供应商为了恶意竞争,故意报出低于成本的价格,中标后,中途拒不执行合同,导致公司经营受损。
第二种,协议定价:与合作良好的供应商,采用双方协商的方式最终确定产品供应价格。该方案的优点是企业与供应商是相互协作关系,确定后不会因为价格问题而导致供应方面存在问题。但其缺点是协商过程中存在定价过高的可能性。
第三种,标准成本定价:采用标准成本计算方法,与供应商一起,公开透明的对产品的原材料成本、生产成本、检验成本、仓储成本、物流成本等进行核算后,加上合理的利润来确定最后的价格。该方法的优点是定价相对比较合理、科学,但同样也存在缺点,那就是在计算过程中,企业采购人员需要对供应商所使用的原材料价格趋势、生产过程等情况掌握清楚细致,否则在计算过程中,很难计算准确。
近几年发展趋势来看,很多企业已经逐步认识到了标准成本方式的优越性,开始越来越多的使用,并且采取这种方式定价,公开透明,采购方既能取得较为合理的价格,供应方也能取得相应的利润。
无论采用哪种模式,都有其相应的问题点,所以各企业应当针对这些问题点制定相应的管控措施,进行严格管理,以避免采购风险。
4.2.3 最小订货量、交货期等的确定
在物料供应时,供应商往往希望能够大量订购,这样生产成本、物流费用都将会下降;相反工厂希望按需订购,这样将会使公司库存大大下降,并且在生产变更时也不会造成呆滞物料,这是一对矛盾。这就需要采购部门与供应商协商制定出对双方最有利的最小采购批量进行采购。
另外,在供应时,工厂希望交货期越短越好,最好能做到零等待,这样对工厂的排产以及生产协调各个方面最有利。但事实上物料供应时,供应商的生产、运输均需要时间。这同样就需要采购人员与供应商共同制定出交货期,并且交货期要区分出首次交货和正常交货,以便于订单提交时间的确定和排产确定。
有了交货期,结合生产产能,公司就可以设定出各种物料的最低安全库存。
为了解决这一问题,目前,很多公司与供应商协商开展了VMI管理(供应商库存管理),由公司提供给供应商存储地点,供应商直接将产品存放于公司指定的地点,并由供应商自行管理库存,公司生产时随用随领,领用后供应商计入供货数量。这样,一方面供应商也解决了运输批量问题和存储问题,公司也解决了采购纳期和库存积压问题,一举两得。在该方案中,如果一旦公司所需物料发生变更,那么供应商暂存库存如何处理,这就需要双方提前协商出一个对双方都有利的方案并执行。
4.2.4 订单分配
考虑到供应安全,一般每种物料均有2家及以上供应商可以提供,这样可以保持多家供应商的供应关系,降低单一供应风险。
那么在确定价格后,到底订购哪一家的产品呢?到底以什么原则进行分配?分配比例如何确定?公司应建立一套管理制度进行规范管理,一方面可提升供应关系,另一方面也可防止因员工个人关系导致的企业损失。
一般情况下,根据供应商调查评价结果(见图4-13供应商调查评价案例)及产品质量、价格、供应速度等进行综合评价,根据评价结果区分供应商等级,根据不同等级设定不同的分配比例,具体可参考图4-14供应商订单分配比例确定管理办法来制定。
供应商订单分配比例确定管理办法在制定时,因各企业的经营状况不同,产品不同,因此对供应商的要求不同。如产品质量要求极高,在设定评价要素权重比例时,质量要素权重就要占据绝对重要度;如供应速度要求高,则在权重设定时,供应速度权重占比就应该要高。所以在制定时,需要企业管理人员根据实际状况制定不同的评价要素和评价权重,以及根据综合评判结果设定不同的供应订单分配比例。

4.2.5 供应计划管理
在生产过程中,如果供应过早或者过晚,都属于供应不及时,这些往往会导致计划变更、生产停滞、设备切换、库存增加等,这就造成了等待浪费、人才浪费甚至搬运浪费,更甚者不能及时交付产品还会带来直接经济受损,这一切都将增加企业经营风险。
因此企业管理人员需要做好以下事项:
第1, 根据所确定的供应周期、生产计划等制定详细的供应计划,并由专人跟进确认,直至供应到达;
第2, 制定到货及时率考核指标,对供应商进行评价考核,根据考核评价,督促供应商不断改进。
第3, 制定到货齐套率考核指标,对订单跟踪人员进行评价。很多公司往往只考核了到货及时率,而未考核到货齐套率。那么我们设想一下,假如生产一款产品需要100个配件,如果有99个配件及时到货,而另外一个配件推迟了到货时间,则到货及时率为99%,看起来还不错,可生产能正常进行吗?当然不行,那为什么会这样?这就要看齐套率了,一款产品无论缺少几个零件,则都不能完成生产,那么齐套率就是0,所以就不能正常开工生产。这个指标对于成品生产企业来说尤为重要。
4.2.6 供应成本节约
制造性企业经营成本中,供应成本(主要是物料成本)是企业最大的成本之一。因此供应成本节约是供应链管理中不可或缺的工作重点之一,其主要目的就是供应成本节约。
节约的成本,可以看作是不包含任何成本的纯利润,如果节约10万企业就增加了10万的利润,如果节约1000万,那么企业就增加了1000万的利润。因此,企业必须加大力度进行成本递减活动。所以供应链管理人员应不遗余力的进行物料成本递减活动,使企业成本最低化。
那么到底该如何进行供应成本递减呢?这就要建立相应的采购成本递减战略,一般情况下可以从以下几个方面来节约成本:
第1, 价值工程(VE :Value Engineering)活动开展:内部团队大力开展价值工程活动、精益设计(Lean Design),通过对产品材料、材质、尺寸以及结构等的研究,寻找更优成本方案来降低材料成本和降低生产制造成本。
第2, 同步开发:采购参与产品开发过程,利用供应商的专业能力,让供应商一起参与产品或工艺设计,寻找更优设计方案,降低物料成本或者采购件的生产成本。
笔者就曾遇到过一家美国知名化妆品公司,他们所设计的一款口红产品外壳,需要注塑成型后再进行喷涂,工艺比较复杂。国内一家小型注塑企业接到订单后,根据该企业的工程师分析,此产品完全可以通过注塑一次成型后达到其外观要求,遂立即向美国公司提出了改善建议,这样就大大的降低了物料采购成本。
第3, 成立专业团队或者外请专业团队,帮助供应商提升其管理能力,通过提升其质量、生产效率、成本管控等方面的能力,来降低供应成本。这方面,目前很多公司已经在开展,国内企业美的在这方面已经开展了好多年。
这里面存在几个问题,估计大家肯定想问,问题一就是成本问题。如果是公司自有专业改善团队,一般不存在这个问题,这毕竟是他们的工作。可如果是外请的专业团队,其改善及辅导必然会产生成本,那么这个成本如何处理?这个当然没有定论,不过一般有以下几种处理方法,方法一:其成本由公司及供应商共同承担。在改善之前,可与供应商协商一个成本分摊办法,如五五分担等。改善完成后,后续的供应价格将在改善完成的基础上进行重新核算、定价。方法二:其成本完全由公司承担,后续供应价格将在改善完成后进行重新定价。方法三:完全由供应商承担,在改善完成后,后续供应价格核算时,先减去该部分成本,然后再重新核价。至于具体到底如何进行,取决于公司与供应商之间的协商结果而定,以上三种方法,仅供参考。
问题二,到底要改善什么?改善哪家供应商?这里我们可以根据供应链管理的目的去看待此问题。企业供应链,需要有一个价格低廉、供应及时且稳定的供应体系,因此我们就要着眼于供应价格和供应及时性以及供应稳定性上。
供应价格和供应及时性,最终反应在企业经营上都是成本,所以这里可以以综合供应成本来进行考量。为了反映不同供应商的差别, 引入供应商损失成本系数, 建立综合考量采购价格和供应水平的供应商管理和决策体系,有效控制成本,为公司降低成本要求、选择供应商、决定物料价格提供依据。
供应损失成本系数我们可以设定为f:
f= (
+Price)/Price
COQ’——指综合质量成本;
COQ’=COQ1+COQ2+COQ3+COQ4
COQ1:来料鉴定成本
COQ2:受入鉴定成本
COQ3:来料不良成本
COQ4:来料不良引起的生产浪费成本
COD’——指综合供应不及时成本
COD’=COD1+COD2
COD1:供应不及时引起的生产浪费(等待)成本
COQ2:供应不及时引起的市场(合同赔款)成本
Price——指采购价格
QTY——指总供应量
单件供应总成本=Cost=Price*f
f 在现有供应商成本考核时的决策作用示例:
引入供应商损失质量成本系数,可对供应商Cost Down(成本递减) 的要求的决策指导,
示例如下:

由上表可见,如果供应商品质劣化或供应不及时,为了保持总使用成本不变,必须C/D单价;而当品质改善、供应效率改善,采购单价不变时,企业的总使用成本会相应降低,即“节约了成本”。同理,在选择供应商时,即使某个供应商价格再低,但其供应损失成本系数高,则公司的使用成本仍然有可能是高的。
有了这几个参数,根据各参数的评价,对于供应质量、成本及供应及时性方面自然就明白了需要改善什么。
当然,稳定性方面,还可以对供应商其它经营方面进行相应的改善,这里就不再一一赘述。
第4, 可以从整个供应链的角度出发,对各环节进行改善和整合,从而降低供应成本,如图4-15所示某日化产品供应链,包装材料生产完成后需要进行出货检验,包装材料运输至灌装厂进行成品生产时又要进行受入检验,那么从整个供应链环节考虑,两次检验其中一个是重复工作,属于浪费,那么就可以进行相应的减少,从而降低生产成本。
具体改善内容及改善方法见图4-16,采购成本及改善方案示意图。
第5, 集中采购:该条适用于集团公司采购。在采购时对于使用量大,且成本较高的产品采用集团化采购,如原材料、零部件、设备及服务等。通过集中采购提升采购量,以量换取成本的递减。但是该项在使用时,要根据实际状况进行分析,要不然会适得其反。如笔者在对一家日化集团公司进行服务时,发现该公司的所有物品均采用集中采购,就连一个标准插座也要集中采购,这样,不仅没有降低成本,反而在采购审批流程中,流程过长,审批节点多,反而造成了工作处理成本远远大于采购物品本身的成本,并且也导致了一个标准插座居然两个月都未采购到位的尴尬状况。
4.2.7 建立专业供应管理体系
第1, 完善、统一系统功能设计,为有效实施管理运行控制做好基础工作。
a 统一规划集团公司采购系统组织机构,对子公司采购功能进行标准化设计。子公司应具备以下功能:
生产准备功能
价格管理功能
订单管理功能
库存控制功能
供应商及供应质量管理功能
b 建立集团公司统一的采购政策、标准、流程,对各项采购业务进行标准化模版设计。
c 对集团采购系统人员进行培训、考评。全面开展对集团采购体系运行控制评价工作。
第2, 强化采购委员会对系统的运控作用
保证供应体系有效运行。
重大采购事项必须由采购委员会集中决策。
由采购委员会统筹规划各层级采购组织的功能与采购责任。
子公司下属的分公司成立采购部必需报采购委员会批准。
新产品开发的采购组织工作由采购委员会分配任务。
采购委员会对供应商的确定行使质量与成本否决权。
采购委员会负责组织集中与专项采购会议,保持集团的采购政策、标准、流程的统一性,一个声音对外,重塑采购体系形象。
第3, 集中决策组织——集团公司采购部
系统组织功能设计、划分采购责任、制定采购标准模板、培训采购技能、运行绩效评价。
为产品开发提供资源支持、组织实施生产准备。
做出采购战略决策,并完成重要物资采购的关键环节。
统一进行供应商质量评审、实施采购信息系统。
第4, 分散操作组织——子公司采购部
完善 “六种功能”——生产准备功能、价格管理功能、订单功能、仓储功能、信息功能、质量管理功能。
质量评审的功能集中于集团采购部。
4.3 供应商管理
要想维持稳定的供应链,那么就必须要对供应商进行相应的管理,其一要能够选择出合格的供应商,其二要不断提升供应商的能力,其三,还要维护与供应商之间的关系。
1
2
3
4
4.1
4.2
4.3
4.3.1 供应商评价及评审
虽然选择供应商时已经对供应商进行了审核及评价,但市场风险总是存在,所以在日常供应过程中,依然需要对供应商进行评价,定期也要对供应商进行评审,防止供应风险发生。
1) 供应商评价
对供应商评价可以根据供应商供应结果设定不同维度的评价内容,每月进行数据统计并评价,具体评价内容可根据公司实际,设定不同维度进行评价,如到货及时率、到货质量、持续改善等方面,也可参考图4-17示例进行。根据评价得分状况,可设定供应商等级分类,如可将供应商分成A、B、C、D四个等级,A类为优质供应商,增大其订货比例;B类为普通供应商,保持订单比例不变;C类为需要改进供应商,减少其订单数量;D类为需要淘汰的供应商。每个季度进行一次评定。评定后通过订单数量倾斜或者对相应需要淘汰的供应商进行淘汰,以此来激励各供应商进行持续进行改善,保证供应质量及供应效率。
评价的目的是要监控各供应商的供应状态,并及时将供应问题点提供给供应商,以督促其改进,如果只有评价,没有改进,那么评价就没有任何意义。所以,在每个月对供应商评价后,要及时将评价结果反馈给相应的供应商,督促其改进。
2) 供应商评审
虽然在引进供应商时进行了详细的供应商审查和评价,但市场风云变幻,随时可能会发生变化,遇到经营风险。所以,应该定期对供应商进行评审,及早的发现可能存在的潜在风险,因此至少每年要对供应商进行一次评审。
评审的目的主要是确认供应商的管理体系运作是否正常,是否能够保证所供应产品有稳定的质量和稳定的供应状态,所以该评审时就不需要再像引入供应商时候的评审那么细致,主要是针对供应商的管理体系方面进行审查确认。具体可参考图4-18所示某公司供应商审查条款内容示例。




在等级评价时,可以依据图4-19所示的等级评价标准进行评定。

4.3.2 战略供应商管理
传统供应商对于企业来说只是产品的提供机构而已,合作的目的纯粹为了利润。在这种观点之下,供应商被看作成本结构的主要组成部分,所以就可以使用各种方法将这一成本降低至最低,比如多家竞标,让其相互厮杀,最后获得更便宜的供应价格。虽然这些方法可以使供应成本降得更低,但是如果过度使用,会影响企业与供应商之间的关系。前几年经常可以见到有供应商在企业门外拉横幅、堵门等等,很多都是因为这一关系所造成。
这种关系下,对于供应商来说存在以下困难点:
设计变更、计划变更等未及时通知
设计变更、计划变更等带来成本增加;
贴息后,不能及时开具发票,造成经营现金流紧张
设计精度过高,存在浪费
质量罚款等很多不合理现象存在
与企业共度难关后没有实质优惠政策
对优质供应商等也无突出优惠政策
……
对于企业来说同样存在以下困扰:
零部件质量差、交货周期长
材料涨价与整机降价矛盾突出
供应商数量多,但优质供应商寻找较为困难
供应商脚踏几只船
供应商满意度低
……
后来,经过一些国际型大企业的实践发现,在保持稳定的供应关系的情况下,如果想进一步降低采购成本,就需要通过先进的采购策略来节省成本,如图4-20所示,是科尔尼公司从1995年-1998年对一些公司的跟踪数据统计结果。12
所以很多企业开始着手发展战略供应商(Strategic Suppliers),也就是指公司为了战略发展,在供应商中选择少数几家供应商作为企业发展所必需的供应商,相互形成战略协作关系。战略供应商的业绩对企业的影响越来越大,在交货、产品质量、提前期、库存水平、产品设计等方面都影响着企业的成功与否。
1) 战略供应商选择
那么战略供应商怎么选择?可以从A类供应商中,对以下内容进行评估:
A. 意愿层面:
确认供应商是否有意愿与公司协同发展
确认供应商是否有意愿通过公司培养或者是否有能力自我学习并不断提升
确认供应商是否有意愿建立长期合作合同(如3年以上)
……
B. 经营层面:
确认供应商企业文化、企业价值观是否与公司相同或者相近
确认供应商企业经营状况及经营团队是否具备长远发展能力
……
C. 能力层面:
确认供应商是否有能力进行自我改善并能为公司提供成本递减
确认供应商是否有能力为公司产品设计协同、改善协同提供建议及方案
确认供应商产能是否满足
确认供应商是否具备长期质量保证能力
确认供应商是否具备自我革新及自我提升的能力
……
D. 产品层面:
确认供应商提供的产品是否为公司战略性产品或关键性产品
确认供应商提供的产品是否为公司瓶颈产品或材料
……
以上内容,企业在评估时还可以根据企业所考虑的重点进行增加或者减少。
2) 战略供应商管理
在选定了战略供应商后,就要对其进行相应的管理,具体内容可以考虑包括以下内容:
建立信息交流共享机制并实施
建立供应商的激励机制并实施
制定战略供应商培养计划并实施
制定战略供应商评审方案、计划并实施
4.3.3 供应商培养
持续不断获得高质量、低价格及时供应的产品和服务,是采购的主要工作。然而供应商存在很多种状态,有的企业管理能力强,有的企业管理能力弱,不管是管理能力强还是弱,供应商都需要相应的培养。供应商培养内容包括供应商的忠诚、供应商的供应能力等等。
那么到底如何培养供应商?通过什么方式来培养供应商?这个方面虽然各家公司都有各自不同的方式,但如果要做好供应商的培养,仍然有些规律可循,下文就做个简单的总结。
A、供应商培养的准备工作:
第一:要做好心态调整。企业与供应商之间是合作关系,并不是隶属关系和臣服关系,所以,企业人员要平等对待供应商,切不可以为供应商有求于企业而颐气指使,更不可高高在上,唯我独尊。
第二:建立专业团队。如果企业本身管理能力强,则可以从不同部门选择专业人员,形成供应商辅导团队,定期对供应商开展辅导工作。但如果企业本身能力并不强,且不可不懂装懂,否则将会适得其反。这种状况下可以求助于专业管理咨询团队,与相应的咨询顾问组成专业团队,对供应商进行辅导。当然,在求助于专业管理顾问时,将会产生一定的费用,这个费用有些企业是自己承担,有些企业由企业与供应商进行分摊,还有些企业采用改善后的成本递减对冲,方法不一,各公司可以根据实际状况灵活处理。
第三:要尽可能多的提供帮助,减少要求。
B、供应商培养的方法:
第一:采用专项项目培训。
定期开展一些精益管理改善项目,如全面成本管理(TCM)、全面质量关系(TQM)、全员设备管理(TPM)等,通过项目实施,一方面通过提升供应商的管理能力来降低供应商的生产成本,另一方面还可以培养供应商专业管理能力。降低了供应商的生产成本后,还可以公司的采购成本,一举多得。该方法改善力度大,专业程度高,取得的效果也更加显著。
第二:采用专业培训课程进行培养。
公司建立相应的培训课程和培训计划,根据计划定期召集各供应商人员进行专题培训活动,通过专题培训,提升供应商的管理能力。该方案相较于专题改善,培训完成后是否能够转化成现实的管理改善,取决于供应商的管理能力和改善意愿。
第三:采用专题分享活动进行相互学习。
定期组织各供应商开展管理改善方面的专题分享会,由企业与供应商各自展示各企业的管理优秀点,大家相互分享,共同学习,共同提高。该方法相较于专题改善活动,需要各供应商要有自主学习能力和学习意愿,才可以获得较好的结果。
笔者曾服务过的一家美国化妆品公司,在做供应商培养过程中,就采用成本递减专项活动来开展。在项目开展时,为各供应商聘请了专业的咨询服务团队提供咨询服务,并且定期召开供应商成本递减项目专题研讨会,让各供应商进行总结发表,相互学习。咨询服务费由供应商与公司各50%进行分摊,改善产生直接收益后,所对应的产品采购价格进行相应的低减。改善过程中需要投入的费用,如自动化设备的投入,为了避免供应商不愿意投入,还采用订单承诺以及成本分摊等做法,打消供应商的顾虑。这样做,对公司来说降低了采购成本,同时也会观察到各供应商的改善决心以及对公司的忠诚度;对供应商来说,虽然降低了该企业订单的单价,但学习到的改善方法提升了供应商管理人员的管理能力,该方法还可以扩充至其它产品上,提升了供应商的盈利能力。对双方而言,均为利好。
4.4 库存管理
库存是指库存是指暂时闲置的用于将来目的的资源。这里所谓的资源并不仅仅指生产制造类企业的原材料、半成品、产成品,而是泛指一切相关闲置的资源。
库存管理不仅要保管好这些物品,还要对其进行补充订购和库存控制等。
1
2
3
4
4.1
4.2
4.3
4.4
4.4.1 库存管理的任务
库存在企业管理中有以下作用:
1) 库存能够平衡供给与需求;
2) 库存能够预防不确定性的、随机的需求变动以及订货周期的不确定性;
3) 库存在供应链中起缓冲器的作用;
4) 库存能够消除供需双方在地理位置上的差异。
5) 库存使企业能够实现规模经济;
因为库存有以上好处,所以好多企业就经常依赖库存来解决很多的问题,在笔者服务过的众多企业中,均发现各企业有大量的库存。如某防水材料公司,在已经爆仓的情况下,依然下达大量的生产计划,结果造成公司内到处存放着产品。更有甚者,一家做医疗器械的公司,年销售额大约在4亿元人民币左右,结果库存金额高达8000多万元人民币。再经过仔细测算,该企业的生产周期居然高达14个月,而这一切该企业人员竟然一无所知。当我们将计算数据摆在他们眼前时,他们才恍然大悟,觉得太不可思议。
那么库存对企业的经营到底是帮助还是负担?那么我们再来看看库存的弊端,具体如下:
1) 库存占用大量资金:在大多数公司里,资源都是有限的,用在库存上面的金钱对于改进工厂,给股东支付红利,开发新产品,以及一家朝气蓬勃的公司对资金的其他用途也是需要的,过量的库存没有用处,而只是束缚了资金。
2) 库存产生库存成本:发生库存成本是指企业为持有库存所需花费的成本。库存成本包括:占用资金的利息,储藏保管费(仓库费用,搬运费用,管理人员费用等)保险费,库存物品价值损失费用(丢失或被盗,库存物品的变旧,发生物理化学变化导致价值的降低)等。
3) 库存还会隐藏企业其它管理问题:隐藏生产效率低下的问题;隐藏生产管理不足的问题;隐藏生产质量不足的问题。因为生产效率低下、生产管理不善以及产品质量不足,企业管理者担心市场供应不足,造成企业经营受限,所以进行大量库存,这才是大量库存存在的根本。然而,当有了大量库存,供应需求没有那么迫切,生产效率问题、管理问题以及产品质量问题就没有那么突出,从而对这些问题的解决也就没有那么急切,就会对企业管理者造成麻痹,不会及时去解决,久而久之,积重难返。
综合以上来看,库存过多弊大于利。因此,丰田公司提出来零库存管理。然而各企业实际状况与丰田公司的供应商管理、供应规模等均不同,要完全做到零库存那几乎是不可能完成的任务,即使是丰田也不能做到完全零库存。所以零库存是一种概念,其意是尽可能降低库存,做到合理库存,也就是要找到与企业实际状况相匹配的尽可能最小化的必须库存量。所以库存管理主要要做好两方面工作,一方面要消除引起库存的因素;另一方面要建立为对应需求保持必须的最小库存的管理方法。
4.4.2 库存分类管理
库存分类管理就是指按照一定规则,将库存物品进行分类,并对各类物品采取不同的管理方式进行管理,从而减少人员的工作量并节约库存成本。
1) 库存分类管理来源
1896 年,意大利经济学家帕累托出版了《经济政治学课程》(Cours d’economie Politique),其中描述了他所观察到的一些现象,比如意大利 80% 的土地掌握在 20% 的人手中;比如花园里 20% 的豌豆荚产出了 80% 的豌豆。上世纪 40 年代,美国一位管理顾问 Joseph M Juran 观察到一个在商业以及生活中普遍存在的现象:在某一过程中,80% 的影响来自于 20% 的投入。他将这一现象以帕累托为名,称为「帕累托原则」。
如图4-21各类物料资金占用比例以及存货品种比例示意图所示,在企业生产经营活动中,占总价值的70%的库存物品在数量上只占总数量的10%左右,占总价值的20%的库存物品在数量上大约占总数的20%左右,剩余价值10% 的库存物品在数量上却大约占总数的70%左右。
同样,在实际库存中,必须的最小库存量往往仅占总库存的20%左右。如在对一家大型国营企业调研中发现,其备品备件库存总金额大约在2.1亿元人民币左右,而每年的消耗金额仅有3.8千万元人民币左右,占总金额的18%左右。
2) 库存分类管理的目的及意义
所以,为了能够实现库存的精准性,必须对库存物品进行分类管理。这样就可以压缩库存总量;解放占压资金;还可以使库存合理化,节约管理投入。
库存管理的意义:
• 分清质量和价值等级,重要和次要;
• 突出资源利用效果、成本控制和利润;
• 减少不必要的损失浪费;
• 最大限度地降低成本和提高效率。
3) 库存分类的方法
在库存分类时,可根据图4-22所述内容,根据库存物品的价值、缺货后的影响、供应的不确定性以及过时或者变质的风险大小四个方面,依据公司实际状况,对库存物品进行,具体分析和评价具体见图4-23。评价后依据图4-23对各物品进行分类,分成A\B\C三个等级。
图 4‑23库存物品A/B/C分类方法

4) A/B/C分类物品管理方法

物品分类之后,在日常管理过程中,就可以针对不同类别物品设定不同的管理方法。A类物品,由于其价值高,且缺货影响大,再加上供应的不确定性及存在过时变质风险,因此在管理上应该进行寿命管理甚至趋势管理,确保其库存的精准性,一方面保证在需要的时候有物品可用,另一方面还要保证库存量为最低需求量。C类物品由于其价值低,缺货风险以及供应不确定性低,所以在管理上可以适当放宽,以追求最低订货费用为宜。B类介于A类与C类之间。具体管理方法可参考图4-24进行。
4.4.3 库存物品的订购
物品订购常用的方法有两种,一种是定量订货法,一种是定期订货法,下面分别说明。
1) 定量订货法
定量订货法是指当库存下降至预定的最低库存量(订货点)时,按照规定的数量(一般以经济批量EOQ为标准)进行补货的管理方式。其基本原理是:先确定一个订货点Qk,在使用过程中,随时检查库存,当库存下降到Qk时,就发出一个订货批量Q*,一般选经济批量EOQ,如图4-25所示。
定量订货法的两个关键值就是需求量和订货点。需求量和订货提前期可以是确定的,也可以是不确定的。订货点Qk包括安全库存QS和订货提前期的平均需求量Dl两部分。当需求量和订货提前期都确定的情况下,不需要设置安全库存;当需求量和订货提前期都不确定的情况下,设置安全库存是非常必要的。由于控制了订货点Qk和订货批量Q*,使得整个系统的库存水平得到了控制,从而使库存费用得到控制。
A. 订货点Qk的确定
订货点:在定量订货法中,发出订货订单时,仓库保有该货物的实际库存量称为订货点。它是直接控制库存水平的关键。在计算时,分两种状况,具体如下:
a) 在需求量和订货提前期都确定的情况下,不需要设置安全库存,可直接求出订货点,计算公式如下:
订货点Qk
=订货提前期的平均需求量
=每个订货提前期的需求量
=每天需求量×订货提前期(天)
=(全年需求量/360)×订货提前期(天)
b) 在需求和订货提前期都不确定的情况下,安全库存的设置是非常必要的。公式如下:
订货点Qk
=订货提前期的平均需求量+安全库存
=(单位时间的平均需求量× 最大订货提前期)+安全库存QS
安全库存QS=安全系数×
×需求变动值。
其中:安全系数可根据缺货概率及服务水平状况,通过安全系数表可以查得,如图4-26,安全系数查询表所示:
需求变动值=
式中:
每个月的需求量;
=月平均需求量;
n=月数;
例:某商品在过去三个月中的实际需求量分别为:一月份126箱,二月份110箱,三月份127箱。最大订货提前期为2个月,缺货概率根据经验统计为5%,求该商品的订货点。
解:平均月需求量=(126+110+127)/3=121箱
缺货概率为5%,查表得:安全系数=1.65
需求变动值= 
=7.79
安全库存QS=1.65×
7.79=18.17箱
订货点Qk=121×2+18.17=261箱
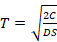
B. 经济订货批量(EOQ)确定
经济订货批量(EOQ)——存货总成本最小的订货量称为经济订货批量(Economic Order Quantity)。
如图4-27所示,图中Q为订货量。这里描述了三个库存周期,每一周期都以Q个单位为开始,它是固定订货批量。刚收到订货时,库存水准为Q个单位,物品按斜率为负值的斜线表示的某一固定需求率R出库。当库存量降至订货点Qk时,就按Q单位发出一批新的订货,经过一固定的提前期后,货物便到达入库。这是一个经济订货批量模型在确定性条件下应用的例子。
a) 固定价格下的经济订货批量
在确定计算模型前,先做以下假设:
需求稳定,单位时间内的系统需求恒定;
订货提前期L不变;
每次订货批量Q一定;
每次订货一次入库,入库过程在极短时间内完成;
订货成本、单件存储成本和单价固定不变;
不允许出现缺货情况;
设:D:每年的需求量(件),
Q:订货批量(件),
C:每次的订货成本或生产准备成本(元/每次订货),
P:每件商品的价值(元/件),
H:每件货物的年储存成本占商品价值的百分比(%),
S=PH=每件货物的年储存成本,
t:时间(天数),
TAC:年库存总成本(元/年)
=货物年平均储存成本+货物订购成本
=
×每件货物的年储存成本
+
×每次的订货成本或生产准备成本
这里,假设期初存货为一个订货批量,期末存货为0,代入上式:
则:TAC=
为获得使总成本最小时的Q,即经济订货批量,将TAC函数对Q微分;
,令
即可得出:
例:某件商品年需求量D为3600件,每件货物为100元/件,每件货物年存储成本占总成本的25%,每次订购货物成本C为200元,求其经济订购批量Q。
(件)
备注,在实际应用时,除了要知道订货多少之外,还必须知道什么时候订货,这就是再订货点。在确定性条件下,在补充期或提前期需要足够的库存,因此如果提前期已知,可以用提前期乘上日需求量来确定再订货点。假设订货补充期或提前期为10天,已知每天的需求量是10个单位,那么提前订货点是100单位(10天×10单位/天)。
b) 折扣价格下的经济订货批量
价格折扣可以是一次购买大批量商品的减价,也可以是运输大批货物,其单位运价较低,或两者兼而有之。大批购买的结果将是手中有大量库存而订货费用会降低。买主现在的问题是如果卖方提供折价,大批量购买是否有优势。
这种情况下就需要按照以下步骤一步步进行计算、比较,最终找出合适的EOQ。
第一步,计算每种价格Pi下的EOQi。
第二步,淘汰不可行的EOQi。“不可行”是指按照价格Pi计算出的经济订货批量未达到Pi所要求的最低订货批量。
第三步,计算可行的 EOQi的年总成本TAC(含产品买价)。
第四步,找出所有的折扣临界批量,按折扣价格计算年总成本TAC(含产品买价)。
第五步,比较三、四步求出的所有总成本TAC,找出最小值,相应的订货批量就是经济订货批量。
例:某公司年存货储存成本H是40%,每次订货的费用C是21元,每年的需求量D是30件,供应商给出的货物折扣如下:

那么,公司到底以什么样的订购批量进行订购最为合理?
根据
首先计算各价格水平下的Qi,然后再计算总成本,后再选择最小经济批量,可以得到以下结果:

其次,再计算可行的 EOQi的年总成本TAC:

价格为90元时:EOQ为5.92,应取为6

价格为85元时:EOQ的临界批量为7,计算Q取7

价格为80元时:EOQ临界批量为13,计算Q取13时

通过计算可以得出,当价格未80时,全年库存成本最低,经济订购批量为13。
2) 定期订货法
A. 订货周期的计算方法
定期订货法是按预先确定的订货时间间隔进行订货补充的库存管理方法。其基本原理是预先确定一个订货周期T和最高库存量Qmax,周期性检查库存,根据最高库存量、实际库存、在途订货量和待出库商品数量,计算出每次订货批量,发出订货指令,组织订货。
设:T:经济订货周期,
C:单次订货成本
S:单位商品年储存成本
D:单位时间内库存商品需求量
TAC:年库存总成本(元/年)
=货物年平均储存成本+货物订购成本
=
×每件货物的年储存成本
+
×每次的订货成本或生产准备成本
这里,假设期初存货为一个订货批量,期末存货为0,代入上式:
则:TAC=
T
D
S
C
为获得使总成本最小时的T,即经济订货周期,将TAC函数对T微分;
,令
即可得出:
例:某仓库A商品年需求量D为16000箱,单位商品年保管费用S为20元,每次订货成本C为400元,求经济订货批量及经济订货周期。
根据
=
=
= 800箱
根据
=
= 0.05年=18天
B. 最高库存量Qmax的确定
定期订货法的最高库存量Qmax是用以满足(T+
k)期间内的库存需求的,所以我们可以用(T+
k)期间的库存需求量为基础。考虑到为随机发生的不确定库存需求,再设置一定的安全库存。
Qmax=
(T+
k) + Qs
式中:Qmax——最高库存量
—— (T+
k)期间的库存需求量平均值
T——订货周期;
k——平均订货提前期
Qs——安全库存
C. 订货批量Qi的确定
定期订货法每次的订货数量是不固定的,订货批量的多少都是由当时的实际库存量的大小决定的,考虑到订货点时的在途到货量和已发出出货指令尚未出货的待出货数量。
Qi =Qmax-QNi-QKi+QMi
• 式中:Qi——第i次订货的订货量
Qmax——最高库存量
QNi—第i次订货点的在途到货量
QKi—第i次订货点的实际库存量
QMi—第i次订货点的待出库货物数量
3) 定量订货法及定期订货法的区别
A. 提出订购请求时点的标准不同
定量订货库存控制法提出订购请求的时点标准是,当库存量下降到预定的订货点时,即提出订购请求。
而定期订购库存控制法提出订购请求的时点标准则是,按预先规定的订货间隔周期,到了该订货的时点即提出请求订购。
B. 请求订购的商品批量不同
定量订购库存控制法每次请购商品的批量相同,都是事先确定的经济批量。
定期订购库存控制法每到规定的请求订购期,订购的商品批量都不相同,可根据库存的实际情况计算后确定,适合于ABC物资分类中A类,即重点物资。
C. 库存货物管理控制的程度不同
定期订购库存控制法要求仓库作业人员对库存商品进行严格的控制精心地管理,经常检查、详细记录、认真盘点。
而用定量订购库存控制法时,对库存商品只要求进行一般的管理,简单的记录,不需要经常检查和盘点。
D. 适用的货物范围不同
定量订购库存控制法适用于品种数量少,平均占用资金大的、需重点管理的A类商品;
而定期订购库存控制法适用于品种数量大、平均占用资金少的、只需—般管理的B类、C类商品。适合于ABC物资分类中A类,即重点物资。
4.4.4 库存控制
库存金额在企业的资产中往往占有较高比例,如果库存量过大,则对现金流的占用较大,导致企业现金流困难和资金使用成本高,如果库存过小,则又难以应对生产需求和市场变化,因此就需要管理者不断探索,要既能满足市场的变化和生产需求,又要尽可能的降低库存金额。
1) 库存物品价值确认
在库存管理过程中,最困难的事情往往是如何判定一个物品到底应该不应该库存。对于经常使用的物品来说,基本上不存在这个问题,但是对于一些偶尔使用的物品来说,判断起来就特别困难,这些物品看着似乎有用,但实际经营中又好像无用,到底有用没用,怎么来判断?这时候就需要进行价值确认,可以采用以下公式进行判断。
P(M)P/(HV)>1
式中,P(M)——该物料在一年内销售或使用的效率;
P——物料成本或销售价(内部使用价);
H——存货的年储存费率;
V——残值;
P(M)P实际上就是该物品在当年的期望经济效益,HV为存储费用。当期望收益大于存储费用,也就是P(M)P/(HV)>1时,该物品可以判定为有经济价值;反之,当期望收益小于存储费用时,也就是P(M)P/(HV)<1时,存储的经济价值为负值,这个时候就应该先将该物品处理掉,以后需要时再进行购买比较划算。
2) 消除引起库存过多的原因
各企业库存过多的原因各不相同,如笔者在为一家猫超服务时发现其所使用的包装箱存储量过多,经过计算,居然可以使用超过一年之久,经调查,其主要原因是因为一次性采购量过大;在一家大型化工企业服务时发现,其库存金额超过2亿元,而实际年使用金额仅有3千万左右,究其原因发现,其主要造成库存的原因是其使用标准不明确再加上其呆滞物料无相应的处理流程和方法造成;在一家医疗器械制造企业服务时发现,其年销售金额约4亿左右,而其成品半成品的库存居然高达8千多万,分析得知,其主要原因是生产计划安排不合理所造成。诸如此类案例多不胜数,综合分析,造成库存过多的原因主要有以下几个方面:
计划不准确,计划变动频繁
采购方法不足
库存分析、改善以及其处理流程方法不足
生产过程不稳定
无法判断库存物品的价值
对于以上造成库存过多问题点的改善,需要根据实际状况进行分析,如果是计划不准确的原因,那么就要提升计划的准确性,具体方法可参考计划部分内容,如果是采购方法的问题,那么就可以按照前面所述采购的两种方法进行改善等。具体问题具体分析并制定相应的改善方案进行改善。
3) 库存循环盘点、提升库存精准性
库存循环盘点的目的就是要提升库存的精确度,确保帐、物数量一致。工作内容相对简单,但仍然要注意以下几个方面的内容。
a) 根据库存物品价值不同,设定不同的盘点周期,可分别设置日盘、周盘、月盘、季盘和年度盘点,提升工作效率。
b) 根据库存物品价值不同,设置不同的盘点部门和盘点人员。对于重要的物品,可由财务人员及仓库管理人员共同盘点。
c) 根据盘点周期不同,设置不同盘点部门和盘点人员。
d) 盘点时,可采用账物分离盘点,先确认账目准确性,再单独对物品进行盘点,各自盘点完成后再进行对比核对。这样防止以帐找物,造成盘点不准确。
e) 盘点后,应制定盘点分析、总结报告。在报告中,要分析出盘点差异的原因,分析时,无论是盘盈还是盘亏,都需要进行原因分析,并制定再发防止对策。这一点,很多公司做得并不到位,大部分只做了盘点数据调整,而并未对造成差异的原因进行分析,更没有制定再发防止对策,这样的总结只是处理了差异,但对产生的原因并未进行改善,下次还会发生。

马国锋